1. 오프셋전압(Offset Voltage)
; 0V, 0V -> 0V과는 다르게 나오는 전압.
1.1 출력 (DC) 오프셋 전압
: 두 입력이 0인 상태에서, 발생하는 출력 전압(DC)
1.2 입력 (DC) 오프셋 전압
: 출력을 0으로 만들기 위해서, 한 입력에 가해야하는 전압.(반대는 GND)

오프셋 전압에서, 입력은 출력이 , 출력은 입력이 0일때 발생한다.
=> 오프셋 자체가 DC라서 DC생략해도 됨.
1.3 오프셋 전압(Offset Voltage)가 적분기에 미치는 영향
; 시간이 지나면 적분기의 출력 Vo는 포화됨.
- Vos(입력오프셋)를 입력 => C가 충전 => short됨.
- Rf를 달아서, C가 충전되는 것을 방지
- Rf를 통해 Vos/Rf가 흐름.
==> Rf가 작으면 적분기 특성을 잃어버리므로, 적당한 값이 중요함.


2. 입력바이어스 전류의 영향
2.1 입력 바이어스 전류
: 두 입력전류의 평균

=> 이상적인 경우, 전류 = 0임.
2.2 입력 오프셋 전류( 이 부분 나중에 추가 수정하기)
: 이상적이지 않을 때, 두 입력 바이어스 전류의 차


2.3 입력 바이어스 전류 영향을 제거

왼쪽 회로를 먼저 보자.
입력이 0인데 전류 IB1이 흐른다.
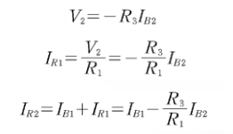
이상적이지 않아도, 가상단락은 있다. Vo = R2(IB1)이 된다.
(+)입력이 0인데도, 입력바이어스 전류 때문에 출력이 발생.
=> 저항 R3를 달아서, 영향을 줄임.


IB1 = IB2 이면, Ios(오프셋전류) = 0 이다.
Vo = 0 이기 위한 R3는, R1 || R2이다.
이때 Vo = R2 Ios 이다.
R2 IB1에 비해 많이 줄어듦



2.4 예제


R3가 있을 때, Bias에 의한 오차가 주는 것을 알 수 있다.
3. 고장진단 : 가장 중요한 Part
3.1 비반전 증폭기의 고장진단
; 포화된 구형파 형태의 신호가 출력
=> 귀환 경로가 개방된 것.!


; A = 1+R2/R1 인데, R1 = ∞ 이면, A는 1이다.

=> offset단자가 있는 경우, 조절을 잘못하면 한쪽 Vmax로 포화 됨.
3.2 반전 증폭기의 고장진단.

구형파가 출력되는 경우. R2가 개방(∞ )된 상태
A = -R2/R1인데, R2 = ∞ 이면, 양끝이 Vmax로 포화된다.

Vo = 0(출력없음) 인 경우, R1이 개방(∞ )
A = -R2/R1인데, R1 = ∞ 이면, Vo = 0이 된다.

Offset이 맞지 않으면, 한쪽만 Vmax로 포화된다.
4.설계 : 온도표시 회로.

thermistor : 온도에 따라 저항이 바뀌는 소자.
thermistor에서 측정한 온도를 7Segment or LED로 표시하기.

4.1. 기준전압회로
: Thermistor + 저항으로, 저항변화가 전압신호로 나옴
4.2. 계측 증폭기
==> 차동증폭기의 발전형태.
- A3 = R4/R3(Vd)에다가
- Rin을 무한대로 만들기위해 A1, A2를 붙임.
- 증폭률은 R1에 의해 조절
4.3. 비교기
- 반전 단자에는 Vref를 입력. R에 의해 divide 되는 특정 전압을 비교 값으로 넣는다.
- 비반전 단자에는 앞단 증폭기에서 증폭된 신호를 넣는다.
=> 비교기에서 설정된 비교 값보다 높은지, 낮은지 알 수 있다.
높으면 +Vpmax, 작으면 -Vpmax를 얻는다. (openloop니까)

5. 정리

출처 : KOCW. 전자회로. 영남대학교. 김성원
http://contents.kocw.or.kr/contents4/html/2013/Yeungnam/KimSungwon/14-2/default.htm
'전공지식정리 > 전자회로' 카테고리의 다른 글
| 연산증폭기3. 응용회로 (0) | 2022.01.20 |
|---|---|
| 연산증폭기 5. 특성 파라미터(주파수특성. slew rate) (0) | 2020.12.07 |
| 연산증폭기4. 적분,미분,정류 (0) | 2020.12.07 |
| 연산증폭기(OP Amp2). 반전/비반전 증폭 (0) | 2020.12.07 |
| 연산증폭기(OP Amp) 1. 개요 (0) | 2020.12.07 |