1. 차동증폭기(Difference Amplifier)
; 두 신호(Vi1, Vi2)의 차이를 증폭
=> 이전까지는 하나의 입력신호를 사용했다
=> OP Amp 자체도 피드백이없으면 포화된다

1.1 해석(이상적인 OP Amp)
이전 포스팅에서 , 이상과 비이상적인 OP Amp의
개루프이득 오차는 0.1% 미만이라고 했다.
그래서 기능을 해석할 때는, 이상적이라고 가정하고 사용해도 무방하다.
; 중첩의 원리를 이용.
1.1.1 Vi1만 고려.
Vi2 = 0(GND)일 때.
=> 반전증폭기의 형태이다. (+)단자가 GND 이므로.
따라서 출력은


1.1.2 Vi2만 고려
Vi1 = 0(GND)일 때.
-> Vi2가 R3,R4에 의해 Divide 됨.(V2)
-> 결국, (+)단자는 V2라는 전압을 입력받음.
-> 비반전 증폭기의 형태가 됨.
따라서, Vo는


1.1.3 중첩
; 위의 분리한 결과를 합치면, 출력 신호를 얻을 수 있다

2. 특별 케이스
; 공통모드(Common Mode) 제거
- 위의 식에서, 특정 저항비를 만족시키면, 출력전압식이 간단해 진다.
- > R2/R1 = R4/R3

- 조건을 출력전압 식에 대입하면, 간단한 출력 전압 식을 얻을 수 있다.

=> 이 식을 통해, 두 신호의 차이를 증폭하는 것을 직관적으로 이해할 수 있다.
- 이때, Vi1 = Vi2, 이면 Vo = 0 으로 공통모드(Common Mode)신호는 완전하게 제거된다.
- 즉, 같은 신호는 나오지 않고, 차이가 생길 때 마다 출력이 된다.
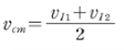
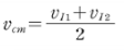
2.1. 공통모드
2가지 변수를 정의하자
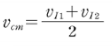
- 공통모드 신호 Vcm = (Vi1 + Vi2)/2 ;두 신호의 평균값.
- 두신호의 차이 Vd = Vi2 - Vi1 ;두 신호의 차이값


- 위의 식을 연립하여 입력신호를 표현하자(Vi1,Vi2)


- 이 값을 차동증폭기 Vo식에 대입하면,

Vcm, Vd로 표현한 Vo
2.1.1 공통모드 이득 Ac (Common Mode gain)
Ac = Vo/Vcm ; Vcm이 얼마만큼 증폭되어 나오는가.

2.2.2 공통모드 제거비(CMRR ; Common-Mode Rejection Ratio)
CMRR = Ad / Ac (차동모드 이득/ 공통모드 이득)

-> 이 값을 dB로 표현하기도 한다. 20log_10를 취하면

2.3. 입력저항
; 위의 공통모드 제거 저항비의 조건에서,

입력저항 Rid = 2R1으로 표현할 수 있다.


2.4.1 예제1

1. CMRR저항비 (R2/R1 = R4/R3)일 때, Vo, Ad가 간단하게 나온다.
; (R2/R1)(Vi2-Vi1) = AdVd
=> 설계니까, 이렇게 저항비를 설정하자.
2. 저항비
= (R2/R1) = Ad = 20, 따라서, R2 = 20R1
3. 큰값인 R2= 1MΩ으로 설정하면, R1 = 50kΩ
같은방법으로 R4, R3도 구할 수 있다.
4. Rid = 2R1 = 100MΩ
2.4.1.1 시뮬레이션 결과

2.4.2 예제2 ; 이상적인 저항비가 아닐 경우
=> R2/R1 과 R4/R3가 10%의 오차가 생겼다.


CMRR = Ad/Ac = (차동증폭/ CM증폭)
->Ac는 Vcm의 증폭률, Ad는 Vd의 증폭률.
-> Vo에서, 두 변수의 계수임을 알 수 있다.
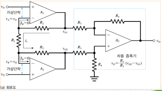
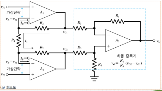
3. 계측 증폭기(Instrument Amplifier)
; 차동증폭기의 단점[유한한 입력저항,2R1]을 개선하기 위해 사용.

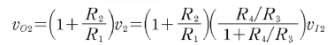
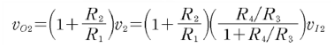
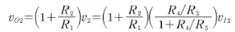
3.1 뒷단
파란색 네모부분 ; 차동증폭기
=> R1,R2를 R3,R4로 같게 설정했다. (R4/R3)만큼 증폭.
3.2 앞단
비반전 단자 입력 OP Amp 2개
-> 같은위상 출력.
-> 입력전류 Iin = 0, 즉, Rin = 무한대
-> 단점 개선 ( Rin은 클수록 유리하다)
3.3 해석
-> 가상단락에 의해 VA = Vi1, VB=Vi2
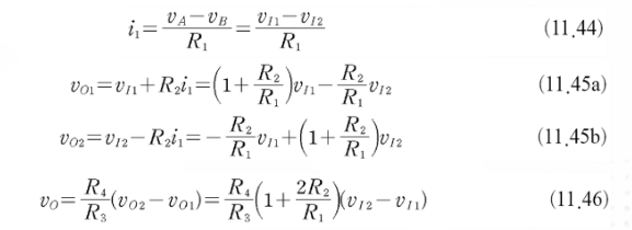
-> R1전류 i1, R2전류 i2라 하자.
-> i1, Vo1, Vo2, Vo를 각각 구하면.

사진 설명을 입력하세요.
=> Vo1- Vo2의 차이를 (R4/R3)만큼 증폭.
3.3.1 전압이득.


=> R1만 조절해서 Av를 조절하면 쉽다.

R1을 고정저항(R1f) + 가변저항(R1v)으로 만들어서 조정.
3.4.1 예제 ; R1조정과 Av

출처 : KOCW. 전자회로. 영남대학교. 김성원
http://contents.kocw.or.kr/contents4/html/2013/Yeungnam/KimSungwon/13-1/default.htm
'전공지식정리 > 전자회로' 카테고리의 다른 글
연산증폭기 6. 특성파라미터(오프셋, 입력바이어스), 고장진단, 설계 (0) | 2020.12.07 |
---|---|
연산증폭기 5. 특성 파라미터(주파수특성. slew rate) (0) | 2020.12.07 |
연산증폭기4. 적분,미분,정류 (0) | 2020.12.07 |
연산증폭기(OP Amp2). 반전/비반전 증폭 (0) | 2020.12.07 |
연산증폭기(OP Amp) 1. 개요 (0) | 2020.12.07 |