1. 반전증폭기(inverting Amplifier)
; 입력과 출력의 부호가 반대라서, 반전증폭기
-> 입력 v1가 (-)단자에 연결되어 있다.
2. 이상적인 연산증폭기(OP Amp)로 구성한 경우

2.1 전압증폭률(Av = 출력/입력)
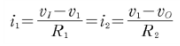
- 전류를 먼저 보자(오른쪽 회로)
- I1이 IB[ (-)단자]로 흐르지 않는다.(가상접지)
-> I1 = I2
-> I1/R1 = I2/R2

반전증폭기 전류관계
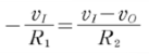
- 위의 전류관계를 이용하면, Vo/Vi를 구할 수 있다.

전압증폭률, 반전이므로 저항의 비에 (-)가 붙는다.
2.2 입력저항
- Vi에서 바라본 저항 = R1이다.(가상접지)

2.3 반전증폭기 등가회로
위의 1단원에서 구한 입출력 관계.
즉, 증폭률, 입력저항을 이용해 등가회로를 그려보자.
-> Av = -R2/R1
-> Ri = R1
따라서, Vo = Vi * Av = -R2(Vi)/R1

2.4.1 예제1


예제 1 시뮬레이션. 크기는 증폭(-R2/R1)되었으나, 부호(위상)은 반대로 되었다.
2.4.2 예제2

2.4.3 예제 3

3. 이상적이지 않은 연산증폭기(OP Amp)로 구성한 경우.
=> 즉, 가상접지가 안되는 경우.
3.1 전압증폭률
; 가상접지였던 부분을 v1이라는 변수로 놓고 구한다.
3.1.1먼저 전류관계
- i1 = (Vi - V1)/R1
- i2 = (V1 - Vo)/R2

3.1.2 전압관계
- Vo = Vd * Aod = (V+ - V1) * Aod = (0 - V1) * Aod
= -V1 * Aod

3.1.3 연립

-> 2장의 이상적인 경우에서는, 분자항만 있었다.
-> 이상적인 경우는 Aod -> ∞ 이다.
-> 이것을 대입하면, 분모는 사라지고, 이상적일때 증폭률이 나온다.

3.2.1 예제 1 ; OP Amp의 전압이득을 -> ∞ 로 키운다면. 어떤 변화.

; 점점 이상적으로 바뀐다.
-> 그러나 이상적이지 않아도, 오차는 0.1%이하이다.
4. 반전 증폭 응용 : 반전 가산기
; 입력이 여러 개 => 중첩의 원리를 사용한다.

4.1.1 전류
i1 = Vi1/R1
i2 = Vi2/R2
i3 = Vi3/R3
이것을 중첩하면(=다 더하면)
(-)단자로 흐르는 전류(iF)는.

4.1.2 전압
이상적(가상접지)라고 생각하면,

=> 입력을 각각 놓고 구하는 것과 동일하다.
여기서 R1 = R2 = R3 라면, RF/R로 묶을 수 있다.

전압의 합의 결과를 얻을 수 있으나, 부호는 반대라는 거. 명심하자.
4.2 예제

5. 비반전 증폭기(Noninverting Amplifier)
; 입력신호가 (+)로 들어가서 비반전.
=>가상단락을 생각해보면, 입출력 위상이 동일하게 나온다.
(가상접지 아니고 단락이다.)
=> 둘다 V1으로 전압이 같아지는 건 맞는데, 전압이 같아서 전류=0이므로
=>편하게, 입력이 (+)라서 비반전, 입력이(-)라서 반전이라고 생각해도 됨.
5.1 이상적인 OP Amp(연산증폭기)로 구성한 경우.

5.1.1 전압증폭률
- 아까처럼 먼저 전류를 보자.
i1 = -V1/R1
i2 = (V1-V0)/R2
i1 = i2이므로,
이 식들의 관계를 통해서.


=> 증폭률에 (-)가 없으므로 비반전.
5.1.2 입력저항
; 흐르는 전류 = 0 이므로, 무한대.

5.1.3 비반전 증폭기 등가회로
-> 위에서 구한 입출력 관계
즉, 전압증폭률, 입력저항을 이용해서 등가회로를 만들어 보자.
Av = (1 + R2/R1), Ri = ∞

5.2.1 예제1


1+(R2/R1)만큼 증폭되었고, 위상은 동일하다.
5.2.2 예제2

5.3 이상적이지 않은 OP Amp(연산증폭기)로 구성한 경우.
즉, 가상단락이 성랍하지 않는 경우
즉, 두 단자의 전압이 같지 않은 경우.
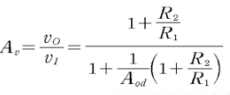
5.3.1 전압증폭률
- (-)단자의 전압을 V1으로 놓고 구한다.
- i1, i2를 구해서 연립을 통해 증폭률을 구한다.



- Vo가 R1,R2에 의해 divide 된 것이 V1.
=> 분자항만 보면, 역시 이상적인 경우의 값이다.
=> Aod -> ∞ 면, 분모가 사라져서 이상적인 경우가 나온다.

5.3.2 예제. Aod가 이상적으로 변할 때.
(Aod -> ∞)

=> 오차는 역시 0.1% 미만.
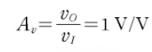
5.4 비반전 증폭 응용1 : 전압 팔로워(Voltage Follower)
5.4.1 이상적인 OP Amp 사용.
-> 입력전압과 출력전압의 비 = 1이다.

원래 비반전 이득은 1+(R1/R2)인데, R2= 0(short), R1 = ∞(open)
이므로 1이 된다.
가상단락 + R1 open, R2 short가 만족되야 한다.

5.4.2 이상적이지 않은 OP Amp 사용.
=> 가상단락이 없다고 생각하고 계산하면 된다.


Aod -> ∞ 이 된다면, 이상적인 것과 같은 결과를 얻는다.
5.5. 비반전 증폭 응용 2 : 비반전 가산기
=> 앞의 반전가산기 처럼, 중첩의 원리를 사용하면 된다.
=> 하나씩 입력전압을 0[V]로 놓고 계산한다.
=> V1이 R1,R2에서 divide된 것이 V+


5.5.1 비반전 가산기 예제

다른 입력전압만 없지, 중첩이라고 저항까지 같이 날리고 계산하면 안된다.

출력전압 = 3개 더한거 x 3
출처 : KOCW. 영남대학교. 전자회로. 김성원
http://contents.kocw.or.kr/contents4/html/2013/Yeungnam/KimSungwon/12-2/default.htm
'전공지식정리 > 전자회로' 카테고리의 다른 글
| 연산증폭기 5. 특성 파라미터(주파수특성. slew rate) (0) | 2020.12.07 |
|---|---|
| 연산증폭기4. 적분,미분,정류 (0) | 2020.12.07 |
| 연산증폭기(OP Amp) 1. 개요 (0) | 2020.12.07 |
| FET4(JFET의 DC해석, FET의 AC해석) (0) | 2020.12.07 |
| FET3(Bias, DC해석) (0) | 2020.12.07 |