
- 주파수특성 : 소신호
- 슬루율(slew rate) : 대신호
1. 개방루프(Openloop) 주파수 특성

Gain이 점점 떨어진다.
1.1.1 개방루프(Openloop) 차단주파수 fh
; Openloop에서, Gain(증폭률)이 일정할 때,
일정한 범위에서 가장 높은 주파수.
1.1.2
단위 이득 대역폭 ft
; Gain이 1일 때 주파수. (dB = 0 은 Gain 1)
1.1.3 fh(개방루프 차단주파수)와 ft(단위이득 대역폭)의 관계
; 1* ft = Ao * fh , 즉, (gain*주파수) 는 같다.

1.1.4 주파수 - Gain

; A(s)는 주파수 변화에 따른 Gain의 식.
=> 이 값에 따르면 , 주파수 10배 증가(dec)에 따라 -20dB 만큼 gain이 감소함.

ex) 위의 그래프에서.
ft (단위이득 대역폭) = gain 1일 때. = 0db = 1M Hz
fh (개방루프 차단주파수) = 가장 큰 주파수 = 10Hz
Ao => 10Hz 에서 100dB
Ao * fh = ft * 1, ==> Ao = ft/fh = 10^5 == 100dB
2. 비반전 증폭기의 주파수 응답(frequency response) 특성.
; 이상적이지 않은 OP Amp(가상접지 X)
1.1 의 주파수에 의한 gain(Ao)를 비반전 증폭기 이득 식에 대입하면.


형태를 보면, 앞의 계수가 Aclo
wh의 식은 s의 분모임을 확인할 수 있다.

2.1 비반전 증폭기의 대역별 이득.
2.1.1 중대역이득

Ao를 매우 큰 값으로 가정하면. 기존의 Gain과 같아짐 을 알 수 있다.
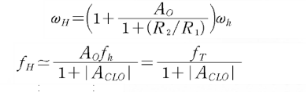
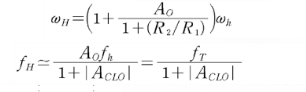
2.1.2 대역폭

양변에 ω = 2πf 이므로, f로 식을 나타내면.
주파수는 큰 값이므로, 앞의 1 + 는 무시하면
대역폭은 fH = fT/Aclo가 된다.
2.1.3 이득, 대역폭 곱
fH * Aclo = fT
; close loop, open loop에서 모두 성립한다.
즉, Gain * 주파수(bandwidth)는 항상 같다.

2.2 비반전 증폭기의 폐루프 이득 - 대역폭의 관계.
; 위에서 일정하다고 했으므로, Tradeoff가 존재한다.
=> 사각형의 면적이 같다.

2.3 예제 ; gain * 대역폭 일정 식을 이용한다.

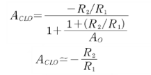
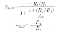
3. 반전증폭기의 주파수 응답(frequency response) 특성
1.1 의 주파수에 의한 gain(Ao)를 반전 증폭기의 이득 식에 대입하면.


wh, Aclo부분을 확인하자.

3.1 중대역 이득

; Ao가 무한대이면 간단한 반전 증폭기 Gain(-R2/R1)식이 된다.
3.2 대역폭
; ω = 2πf를 이용해서 f로 나타낸다. 앞의 1을 생략해서 근사한다.

=> 비반전과 비교해서, 분모에 1+가 있음을 주의하자.
3.3 이득 * 대역폭(gain-bandwidth product)
; 10이상에서는 분모에 1+를 무시할 수 있다.

작은 값에서는 Aclo => (1+ Aclo)가 되어야함.
3.4 예제
; 이득 * 대역폭이 일정한 공식을 이용한다.
; 반전증폭기는 1+|Aclo|

=> Gain이 커질수록 반전증폭기의 1+효과가 작아진다.
4. 슬루율(Slew Rate)
; 입력이 변화할 때, 출력 변화의 최대값.

max가 붙어있다.
4.1 전압플로어로 이해

(c)의 기울기가 슬루율이 된다. 계단입력이 와도. 출력 변화는 기울기를 갖고 변화한다.
즉, 여기서 슬루율은 기울기이고, 출력이 얼마나 빨리 반응하느냐는 의미이다.
4.2 정현파(Sinusodial Signal, 사인파)에 대한 슬루율(Slew Rate)
입력 = Vpsin(ωt)에 대해서.

cos = 1일 때, 최대이므로,

SR은 f와 Vp의 영향을 받는다.
4.2.1 슬루율 제한 출력전압 진폭(slew-rate-limited amplitude)
; 출력의 peak전압. SR을 Vp에 대해서 정리

4.2.2 슬루율 제한 주파수(slew-rate-limited frequency)
; 출력의 최대주파수. SR을 f에 대해서 정리

4.2.2.1 최대 전력 대역폭(Full-Power Bandwidth)
; 출력이 정격출력전압(Vo,rated)일 때 주파수가 얼마인가.

=> 위 값들은 Slew Rate(SR)에 의해 결정된다.
SR에서 구하는 대신호 대역폭은. 소신호 대역폭 fH보다 작은 값을 가진다.
4.3 그래프를 통한 Slew Rate의 정현파 영향 이해.

4.3.1
입력 파형 (a) : 진폭, 주파수 모두 큰 정현파.
=> 슬루율(Slew Rate)의 영향을 받아 파형(b)로 출력됨(왜곡된 형태)
4.3.2
입력 파형(c) : 주파수가 줄어든 정현파
입력 파형(d) : 진폭이 줄어든 정현파
=> 슬루율(Slew Rate)의 영향을 받지 않아 그대로 출력됨
=>peak전압이나, 주파수가 과도하게 크면 입력이 출력을 따라가지 못한다! == Slew Rate의 영향.
4.4.1
예제1 : 정현파 슬루율 공식을 이용


4.4.2
예제2 : 정현파 슬루율 공식을 이용



왜곡된 증폭(파란색)이 됨을 알 수 있다. 찌그러진 모양.
4.5 요약


출처 : KOCW. 전자회로. 영남대학교. 김성원.
http://contents.kocw.or.kr/contents4/html/2013/Yeungnam/KimSungwon/14-1/default.htm
'전공지식정리 > 전자회로' 카테고리의 다른 글
| 연산증폭기3. 응용회로 (0) | 2022.01.20 |
|---|---|
| 연산증폭기 6. 특성파라미터(오프셋, 입력바이어스), 고장진단, 설계 (0) | 2020.12.07 |
| 연산증폭기4. 적분,미분,정류 (0) | 2020.12.07 |
| 연산증폭기(OP Amp2). 반전/비반전 증폭 (0) | 2020.12.07 |
| 연산증폭기(OP Amp) 1. 개요 (0) | 2020.12.07 |