1.
증가형 MOSFET의 I-V 특성; 영역구분
1.1
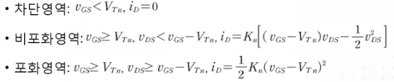
채널 미형성(차단상태)
; 차단영역, Vgs < Vtn
; 채널이 형성되지 않음. => 전류가 흐를 수 없음.

1.2
채널형성(도통상태)
; Vgs > Vtn , drain전압에 따라 비포화/포화의 2가지 영역이 있다.
1.2.1
비포화 영역(non-saturation. or triode)
; 채널형성, 전류 흐르기 시작.
-> Vds < Vgs - Vtn
Vgs - vtn : 실제적인 채널 전압
Vds : drain전압
=> drain전압이 실질적인 채널전압보다 작으면 평평한 채널이 형성.

1.2.2
포화영역
Vds > Vgs - Vtn
drain전압이 실질적인 채널전압보다 큼.
-> drain쪽 채널 모양이 찌그러짐(pinch-off)
-> 전류에 Vds의 영향이 사라짐.

2.
BJT와 영역 비교
BJT - 차단(역/역) = MOSFET - 차단
BJT - 활성(순/역) = MOSFET - 포화
BJT - 포화(순/순) = MOSFET - 비포화
3.
동작영역의 식 표현

차단영역 : 채널 미형성, 전류 = 0
비포화 영역 : 채널형성, 평평한 채널, drain전류에 Vds의 영향이 있음.
포화영역 : 채널형성, 찌그러진 채널, drain전류에 Vds의 영향이 없음.
: Vgs가 전류조절
cf) BJT Ic = Is exp(Vbe/VT) ; Vbe가 전류 조절
diode Id = is exp(VD/VT) ; VD 가 전류 조절
4.
비포화영역(non-saturation)의 동작
-> 채널은 형성되었으나 (Vgs>=Vtn), 이나 Vds가 유효게이트전압(Vgs-Vtn)보다 작아. 평평한 채널인 상태(수평전계)
4.1
전류의 변수는 2개 Vgs,Vds
-> Vgs.Vds가 클수록 전류는 많이 흐른다.
4.2
비포화 영역은 triode 영역이라고도 함.
4.3
드레인전류


전도(conduction) 파라미터

각 상수의 뜻
전도파라미터 Kn은 도통영역(비포화,포화)에 동일한 상수이다.
cf) triode[3극관, 三極管]
극이 2개인 것을 diode라 했다. 극이 3개라서 triode라고 한다.
TR이 나오기 전까지 많이 쓰였다. anode, cathode 그리고 grid로 구성되어있다.
grid에 (-)전압을 걸면 흐르는 전자수가 줄어든다고 한다.주목해야할 것은 이 grid에 전압을 거는 grid bias이다. grid bias를 통해 삼극관의 선형적인 부분을 발견했다고 한다.
아래의 지식인에 따르면, 릴레이 스위치 같은 통과의 역할을 했다고 하는데 triode = linear의 의미로 많이 쓰이므로 일리가 있는 말 같다.
https://kin.naver.com/qna/detail.nhn?d1id=11&dirId=1118&docId=290077306&qb=dHJpb2Rl&enc=utf8§ion=kin&rank=1&search_sort=0&spq=0&pid=Tx1NklpVuFZssaL0p6GssssstQ8-378825&sid=IlsFgr2EqzWyyafZTMwNCw%3D%3D
triode 부분은 차후에 내용을 보충하여 정갈하게 정리하겠다.
5.
포화영역(saturation)의 동작
-> 채널은 형성 (Vgs>=Vtn), Vds가 유효게이트전압(Vgs-Vtn)보다 커서. drain근처 채널이 없어진 상태(pinch-off)
5.1
핀치오프(pinch-off) ; gate전압의 수직전계와 drain전압의 수평전계가 서로 상쇄되어 drain근처에서 채널이 형성되지 못하는 상태.
5.2
-> 핀치오프 상태에서 전자가 채널의 끝에 도달하면,
-> drain부근의 강한 전계에 의해 전자가 빠르게 drain으로 끌려감
-> 따라서, drain전압은 drain전류 변화에 영향을 주지 못함.
=> Vds가 커진다 해도 Id는 일정해짐 => 포화영역
5.3
BJT와 비교
VCE > VBE ; 역방향 => 활성영역
Vds > Vgs-Vtn : drain전계 제거 => 포화영역
같은의미이다.
5.4
드레인 전류
2차 효과를 무시하는 이상적인 경우, Vgs(게이트전압)에만 영향을 받는다.

saturation(포화)에서의 drain 전류
위 식은 자주 쓰이니까 잘 외워두자
6.
MOSFET I-V특성
; Vds와 Id의 관계

MOSFET 특성곡선. Vds - Id
차단영역 : Vgs < Vtn, Id = 0
비포화 : Vgs > Vtn, Id > 0 , Id는 Vgs에 비례, Vds의 영향
포화 : Vgs > Vtn, Id > 0 , Id는 Vgs에 비례
포화/비포화 경계 : Vds = Vgs - Vtn
BJT의 활성/차단/포화 와 잘 비교해두자.
7.
채널길이 변조(Channel length modulation) 효과(effect)
-> 포화영역에서 [drain전압 상관없는 지역]
-> Drain 전압의 증가에 따라
-> 채널 pinch-off도 증가하여
-> drain근처에서 채널이 없어지는 현상.
=> 즉, 실제로는 포화영역에서 drain전압의 영향이 존재한다.


λ : 채널길이 변조계수
=> 1+ λ 만큼 영향을 받는다.
; BJT의 Early effect의 경우와 (ro or VA)와 같다.
7.1 예제

8.
공핍형 MOSFET 의 I-V특성
-> 공핍모드/ 증가모드

왼쪽 그래프는 포화영역에서(Vtn보다 큰 전압에서 시작) Vgs - Id의 관계
8.1 증가형과 비교
8.1.1 Vgs <= 0 인 부분; 공핍모드로 동작.
8.1.2
id = 0 인 지점 -> Vgs = -4[V] = Vtn
; 즉, id = 0인 순간에, 채널 형성전압 = Vtn 인 순간이다.
8.1.3 비포화/포화의 경계 : Vds = Vgs - Vtn
=> Vgs < 0 인 부분이 차이점이다.
=> 즉, Vtn의 시작점이 (+)냐, (-)냐 하는 차이가 있다.
8.2 드레인 포화전류

Vgs = 0[V] 일 때의 drain 전류를 drain 포화전류라고 한다.

saturation(포화)에서의 drain 전류
위의 식에 Vgs = 0[V]를 대입하면 얻어지는 식이다.
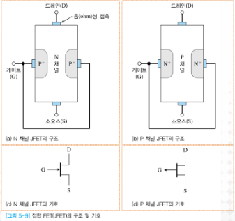
9. JFET의 구조와 동작

9.1.1 이미 채널은 형성되어 있다 (like 공핍형MOSFET)
9.1.2 채널영역의 도핑 형태에 따라 N채널 P채널로 구분
9.1.3 N채널의 심볼은 화살표가 들어가고(PnP) P채널은 나온다(nPn)
9.2
JFET의 실제구조와 동작

9.2.1 Gate에 전압을 걸어, 채널크기조절을 통해 전류의 흐름을 제어
-> 공핍층으로 제어
9.2.2 Gate ~ Source 사이는 역방향 Bias를 걸어준다.
; Source => drain으로 전류가 흘러야 해서.
9.2.3 그러나 공핍층(gate의 P+가 강해짐, 오른쪽 그림의 원 둘레부분)이 생겨서 채널이 좁아진다.(오른쪽 그림의 병목현상 생기는 부분)
9.2.4 따라서, Gate ~ Source가 0[V]때 채널이 가장큼
=> 전류가 가장 많이 흐름
=> 역방향전압이 커지면, 전류가 안 흐르는 지점도 생김
9.3 채널폭 변화, Id의 흐름

gate전압 조절에 따른 채널 변화
9.3.1 위에서 말한 것 처럼 Gate전압이 커지면 공핍층 확대로, 채널이 좁아진다.
9.3.2 Id가 감소한다.
9.3.3 Gate전압이 작아지면 공핍층 축소로, 채널이 넓어진다.
9.3.4 Id가 증가한다.
9.4 Drain 전류전압 특성.

Vgs = 0[V]으로 설정하고, Vd와 Id의 관계를 알아보자.
Vgs(Gate ~ Source 사이 전압) = 0 [V]로 만들어, 공핍층의 방해를 받지 않도록 만들었다.
-> 원래의 채널 크기를 유지한다.
-> 변인을 통제했으니, Vdd(Drain전압)을 변화시켜 Id와의 관계를 확인해본다.
9.4.1

(a) -> (b) -> (c)로 변화하는 것을 보면 drain전압이 증가하면서
공핍영역이 증가하면서 채널이 좁아지는 것을 볼 수 있다.
-> 어느순간 막힌다.
-> 이 현상도 Pinch-off라고 한다.(Vgs = Vp)
-> 핀치오프(pinch-off) 전압 Vp
=> 1. Vds < Vp Vds 증가 -> Ids증가. (옴영역)
2. Vds >= Vp Id일정 (정전류영역)
3. Vds 증가 -> Ids증가 (항복영역)
9.5 JFET의 I-V 특성곡선(VDS,VGS,ID)

VGS>0 , Id = 0 (순방향전압이라서)
VGS = 0[V]때, 최대
VGS = -1, -2, -3 으로 증가하면 채널이 줄어듦. => Id 줄어듦.
VGS(off) = -Vp => Id = 0 이되는 지점.
; JFET에서 Vp 는 MOSFET의 Vtn과 비슷하다.
비포화영역(선형영역)/포화영역 의 경계
-> Vds = VGS - VGS(off)
= VGS - (-Vp)
9.6 드레인 전류
9.6.1 포화영역

포화영역에서는 Vds의 영향은 없다.
9.6.2 비포화영역

VGS, VDS 모두의 영향을 받는다.
9.7 JFET 전달특성 곡선.(VGS, ID)

VGS = 0[V] => IDSS(최대전류)
VGS = -Vp => ID =0(최소)
공핍형 MOSFET의 VGS 범위; 음수, 양수, Vtn에서 시작
증가형 MOSFET의 VGS 범위; 양수 , Vtn에서 시작
JFET의 VGS 범위; 음수 , -Vp에서 시작
기울기
1/2Kn(Vgs-Vtn)^2
IDSS(1- Vgs/Vgsoff)^2
영역; JFET는 항복영역이 존재한다.
차단, 비포화,포화, 항복.
출처: KOCW.전자회로. 영남대학교. 김성원
http://contents.kocw.or.kr/contents4/html/2013/Yeungnam/KimSungwon/10-2/default.htm
'전공지식정리 > 전자회로' 카테고리의 다른 글
| FET4(JFET의 DC해석, FET의 AC해석) (0) | 2020.12.07 |
|---|---|
| FET3(Bias, DC해석) (0) | 2020.12.07 |
| FET1(MOSFET구조, 동작) (0) | 2020.12.07 |
| BJT증폭기 5(증폭기 비교, 설계 예제) (0) | 2020.12.07 |
| BJT증폭기4(CB증폭기) (0) | 2020.12.07 |