1. 증폭기 특성 비교(CE,CC,CB)

각 증폭기의 소신호 해석 결과. β사용(π 모델)
-> base voltage divide R1,R2 사용. 부하저항 없음. Rs는 신호원의 저항.

-> 증폭용으로는 CE를 사용,
임피던스 매칭용 buffer는 CC[Av=1],
전류 buffer 는 CB[Ai =1]
2. 설계 예제
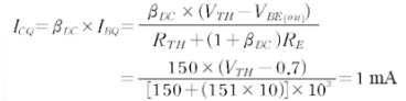
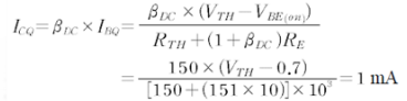
2.1 예제1 (CC증폭기, 동작점을 주고 저항을 찾아라)







연립하여 풀면, R1 = 192kΩ, R2 = 686kΩ



2.1. 2 시뮬레이션


2.2 예제 2 CE증폭기



출처 : KOCW. 전자회로. 영남대학교. 김성원
http://contents.kocw.or.kr/contents4/html/2013/Yeungnam/KimSungwon/9-2/default.htm
(12분 부터)
'전공지식정리 > 전자회로' 카테고리의 다른 글
| FET2(MOSFET I-V특성, JFET구조) (0) | 2020.12.07 |
|---|---|
| FET1(MOSFET구조, 동작) (0) | 2020.12.07 |
| BJT증폭기4(CB증폭기) (0) | 2020.12.07 |
| BJT증폭기3(CC) (0) | 2020.12.07 |
| BJT 증폭기 2(CE회로 문제풀이,Re의 역할, 병렬C의 역할) (0) | 2020.12.07 |