예제를 꼭 반복해서 풀어보자.
기본프로세스는 몸에 배도록!
=> 활성모드, IC값 -> 소신호분석(파라미터[gm, rπ, re, ro] , Av, rin rout)
1. CE증폭기
-> emitter : 공통 in : base, out : collector인 증폭기
-> vbe감소 -> ib감소 -> ic증가의 관계
2. 이미터 저항 RE 을 달았을 때.
-> β가 바뀌더라도, IC의 변동을 작게 만든다
-> 동작점 안정화
-> self bias와 유사
2.1 등가회로
(ro 무시[Va=∞], collector, emitter 둘 다에 저항이 있으면 분석이 어려워져서)

CE증폭기(왼쪽), 등가회로 변환(오른쪽)
-> 주요 point : 1. Re 추가,
2. gmvπ => βib 표현변화 ; 같은 값이다.
2.2 전압이득
위의 회로에서
출력전압 ->Vo = IR = -(βib)Rc

입력 쪽에 KVL -> Vin = ibrπ + (β+1)ibRe

두식을 연립하면

Vo와 Vin을 연결시킬 수 있다.
Av(전압이득)로 정리하면,



여기서 주목!, 위의 식에서 β는
-> 분모 분자, 공통으로 포함되어 전압이득에 영향이 없음을 알 수 있다.
-> TR의 특성이 미치는 영향이 줄어든다!
-> RE의 추가로 이런 효과가 나타나는 것!
2.3 입력저항

위의 등가회로 확대


입,출력저항은 전압/전류로 구하는 것을 배웠다. 이것을 적용하면 위의 식이 나온다.
왜 Rib와 병렬이냐면, 오른쪽을 한 bridge로 보면 병렬연결의 모양이다.
[그림의 B ~ Emitter의 접지까지]
3. 예제
ex1) RE 없는 회로

ex1.1 DC해석


BJT가 active임을 가정하면, VBE는 순방향 바이어스이다.
IB를 구하면,

이로부터 IC, VC를 순차적으로 구한다.


VC > VB(역방향)이므로, forward active mode임을 확인 할 수 있다.
ex1.2 AC해석
ex1.2.1 DC해석에서 얻은 수치로, 파라미터 값을 계산해보자.

ex1.2.2 입력저항/ 출력저항

ex1.2.3 소신호 전압이득

ex1.3 시뮬레이션 결과

ex1 RE 없는 것 DC해석 시뮬레이션

ex1 RE 없는 것 AC해석 시뮬레이션, Av = -101.36
ex2) RE 있는 회로

ex2.1 DC해석


BJT가 forward active 모드라고 가정한다.

IB를 구하면,

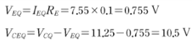
IC, VB,VC를 순차적으로 구한다.


VC > VB(역방향)이므로, forward active mode임을 확인 할 수 있다.
계속 이어서, IE, VE,를 구한다.


ex2.2 AC해석(ro = 0임)
ex2.2.1 파라미터 계산

ex2.2.2 입력저항
rib를 구하고 병렬연결


ex2.2.3 전압이득

앞의 RE 없을 때와 비교하면, Av가 -108.88 -> -4.53으로 크게 줄었다.
[앞의 예제에서 VA = ∞ 인것을 제외하곤 동일한 조건이다.]
안정화, but Av의 급격한 하락!
ex2.3 시뮬레이션

ex2 RE 있는 것 DC해석

ex2 RE 있는 것 AC해석, Av = -4.51
ex2.4 결과 분석
ex2.4.1 β가 50%감소해도, Av는 2.65%정도만 감소한다.
(안정된 전압이득)

β변화에 따른 Av의 변화
ex2.4.2 감소한 Av의 대책 ; C를 Re에 병렬로 추가하기.

C가 Av를 개선한다.
1. C는 DC에서는 Open, AC에서는 short
2. DC에서는 ∞저항으로 존재하여 Re를 동작하게 하고,
β의 흔들림에 대한 Av 또한 안정화 시킨다.
3. AC에서는 short로 Re를 제거하여 Av의 효과를 그대로 누릴 수 있다.
즉, Av안정화는 DC에서 이루어지고, 증폭은 AC에서 이루어 진다.
DC에서만 RE를 이용하여 안정화 시키면 된다.!
4. AC분석을 통해 자세히 알아보자.

위 회로(C 추가)의 소신호 등가회로 r모델이므로 α를 이용한다.
ro = ∞로 가정한다.

Ic와 Ie는 이런 관계가 성립하고 따라서 출력전압 Vo는

이다.
입력전압,

이다.
이미터 전류는

이므로, 출력전압에 대입해보면,

이다. 연결해서 전압이득을 구해보면

π모델(예제 ex1)을 사용해서 구한다면, gm은

이므로,

동일한 결과를 얻을 수 있다. (ro = ∞ 이므로, Ro = RC이다. )
ex2.4.2.1 이 상황에서 α ≒1이라면, 전압이득은

ex2.4.3 check(ex1과 비교)
Rib는

다.
ie = (β+1)ib이므로, π모델의 아래 값과 동일한 결과임을 알 수 있다.

+]

의 이유

이므로,

이다.

의 관계가 있으므로, 위 식에 대입하면,

의 결과를 얻을 수 있다.
3. 정리
찾아야 할 값들.


ex3) CE회로 + RE + C

ex3.1 DC해석








ex3.2 AC해석




출처 : kocw. 전자회로. 영남대학교. 김성원
http://contents.kocw.or.kr/contents4/html/2013/Yeungnam/KimSungwon/7-2/default.htm
'전공지식정리 > 전자회로' 카테고리의 다른 글
| BJT증폭기4(CB증폭기) (0) | 2020.12.07 |
|---|---|
| BJT증폭기3(CC) (0) | 2020.12.07 |
| BJT 증폭기 1(해석 전에 알아야할것, CE증폭기) (0) | 2020.12.07 |
| BJT5(소신호 등가모델 2) (0) | 2020.12.07 |
| BJT4(소신호 등가모델) (0) | 2020.12.07 |