1. CC(Common Collector, 공통 컬렉터)증폭기
-> base in, emitter out의 구조.
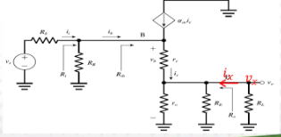
1.1 회로도와 등가회로(r파라미터 사용)

1.1.1 ic = αie
1.1.2 ro가 emitter에 붙어있다.

-> Early 효과는 E와 C사이에서 생긴다. 즉, ro는 C와 E사이에 붙어있다.
-> CE는 E가 접지이므로 C와 GND사이에 ro가 있었다.
-> CC는 C에 VCC가 달려있어서 접지이므로(AC에서 VCC = GND)
ro상단이 GND이다. 따라서 E와 GND사이에 ro가 있게 된다.
1.2 소신호 등가회로 분석(r파라미터)

위의 r파라미터 등가회로
1.2.1. Rib(ib에서 본)
base에서 본 입력저항은 아래와 같다.

base에서 본 입력저항

그리고


관계가 성립하므로, 대입하면,

위 값의 의미 : 입력임피던스.
-> 엄청 크다. 그래서 좋다.[클수록 이상적]
1.2.2. Ri(Vs에서 본)

이면,[rπ , re, 1의 영향이 미비하다면]

로 근사할 수 있다. 그리고 원래 Ri는 아래의 값이다

1.2.3. 출력전압
Vb(베이스전압)은, vs가 위의 두 저항에 의해 divide된 것이다.

그리고, Vo는 Vb가 divde된 것이므로,

1.2.4. 전압이득
위에서 구한 식을 대입하면,

위 식에 Ri를 대입해서 마무리하자.
입력저항이 아래의 값이었고,

RB가 충분히 크다면

로 근사할 수 있다. 이 Ri 값을 넣어서 정리하면,

이 값을 근사를 통해 간단히 고쳐보자.

의 관계가 있으므로.

즉, 전압이득은 1에 가까운 값이다.(입력전압 = 출력전압)
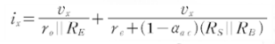
1.2.5. 출력저항

test전원을 달아서, 위의 옴의법칙으로 구한다.


(1-α)ie = ib 이다. 즉, re의 전압과, 전류원쪽의 전압을 합한게 vx.

위 식을 연립하여 정리하면.


여기서

이므로 , 간소화 하면,

의미 : re는 아주 작은 저항이다.
-> 즉, Rout이 매우 작다.[작을수록 좋다. 이상적이다.]
-> 작은 저항의 부하를 구동하는데 적합!
1.2.6. 정리
CC 증폭기 의 특징
-> Rin 이 매우 크다.(이상적)
-> Av = 1이다.(문제있음)
-> Rout이 매우 작다.(이상적)
=> 따라서, 전압 증폭기보다는 임피던스 매칭용 buffer로 사용한다.
[연결해도, 입출력의 임피던스 변화가 없는 형태라서]
1.2.7 번외, 전류이득

에서, base in, emitter 아웃이므로, 아래 관계를 이용해 근사하면.


-> Ai = 1+ β
1.3 예제

DC해석(동작점 전류전압) ->
-> AC분석 (파라미터 값, 회로 특성[전압이득])
1. DC

Forward bias 가정,





2. AC




-> Rib = 131.24k 로 크고, ro = 14.63 으로 작다.
Av = 0.98로 1에 가까운 값임을 알 수 있다.
Av의 부호는 (+)이다.
3. 시뮬레이션

여기서
Av = 0.96
DC바이어스로 인해, 평균선은 다르나, AC의 진폭은 비슷하다.
Av부호 (+) 이므로, 입력 증가 -> 출력 증가.
4. CC증폭기 다시 정리

출처 : KOCW. 전자회로. 영남대학교. 김성원
http://contents.kocw.or.kr/contents4/html/2013/Yeungnam/KimSungwon/9-1/default.htm
'전공지식정리 > 전자회로' 카테고리의 다른 글
| BJT증폭기 5(증폭기 비교, 설계 예제) (0) | 2020.12.07 |
|---|---|
| BJT증폭기4(CB증폭기) (0) | 2020.12.07 |
| BJT 증폭기 2(CE회로 문제풀이,Re의 역할, 병렬C의 역할) (0) | 2020.12.07 |
| BJT 증폭기 1(해석 전에 알아야할것, CE증폭기) (0) | 2020.12.07 |
| BJT5(소신호 등가모델 2) (0) | 2020.12.07 |