1. 실리콘(Silicon, Si)
- 원자번호 14, (2+8+4), 최외각 전자 4개.
- 원자에 종속된 전자는(궤도 도는것), 양자화 된 에너지를 가진다.(법칙임)
- 원자 하나일 때는 아래 왼쪽그림처럼 깔끔함.
- 원자 여러개인 고체에서는 간섭&반발로 촘촘해지고, 멀어지면서 오른쪽 모양이 나온다.

- 이 결과 에너지밴드 & 밴드갭 모양이 나타난다.
- 에너지밴드 ; 모든구간에 존재가능한 양자 준위가 있는 것.
- 밴드갭; 고체의 에너지준위 분포를 봤을때의 빈구간, Conduction band와 Valence band 의 차이.
- 에너지 준위는 낮은거 부터 채워서,
Valence band -> conduction band 순으로 채운다.
- 상태로 봤을때, conduction band의 에너지를 가진 전자는 자유전자.
- valence band의 에너지를 가진 전자는 최외각전자이다.
- bandgap 상태에 따라, 도체, 부도체, 반도체가 결정된다.(짧으면 도체)
- 반도체는 bandgap을 조정해서 도체 <-> 부도체 상태가 되는 것이다.
모스펫 채널 컨트롤 ; 게이트 전압으로 inversion layer를 형성해서, 스위치를 on 하는 것.
-실리콘 쓰는 이유 ; 확보난이도/특성/선점효과/SiO2/밴드갭
2. 도핑
- Silicon은 4족이다. 그리고 4족은 전자가 흐르지 않는다.
이상태를 intrinsic(진성)이라고 한다.
4족에 3족(B), 5족(P, As) 을 결합하여, 도체로 만든다.
- 5족을 결합하면, 4+5=9 로 전자가 하나 남고(9-8 =1)
남아서 5족을 doner
- 3족을 결합하면, 3+4=7 로 전자가 하나 부족하다.(7-8 = -1)
부족해서 3족을 acceptor라 한다.
- 옥탯에서 전자가 부족한 공간을 hole(전자가 끼워질 수 있는 곳)이라 명명한다.
;acceptor 때문에 계산 쉽게하기 위한 가상의 개념을 만들었다.
홀의 이동 예시;
왼쪽에 홀이 생김 -> 오른쪽 공유결합 전자가 왼쪽으로 옮 -> 오른쪽에 홀이 생김
;왼쪽은 사라지고 오른쪽에 홀이 생김.
; 홀이 오른쪽으로 이동함.
전자의 이동은 자유전자라 moblility가 높다
그러나 홀의 이동은 공유결합이라 moblility가 낮다.
- 전류는 홀 or 전자의 이동으로 생기므로 이 둘을 carrier라 한다.
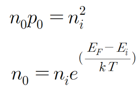
-ni(; intrinsic carrier concentration)
; 고체 실리콘도, 온도에 의해, 공유결합을 깨고 생성하는 과정이 반복된다.
; 즉, 자유전자가 있다.(공유결합을 깬거라 hole도 있음, EHP)
; 이 둘의 농도는 일정함(밖에서 들어온 게 없으므로)
; 이 농도를 ni라고 함.
; 300K(27도) 에서 ni = 1.5*10^10 cm^(-3)
cf)실리콘 원자수 10^22 cm(-3)
cf) 300K의 bandgap 1.12eV
; 온도에 depand된다.
- 도핑시의 농도(n)변화
doner 농도 nd, acceptor 농도 na,
총전자 n0, 총 홀 p0
ni^2 = n0*p0 를 기억하자.
- 도핑 없는 경우
ni = n0 = p0
- Doner 도핑 시(doner 농도 nd)
; n0(총 전자농도) = nd+ni = nd
- acceptor 도핑시(acceptor 농도 na)
; p0 = na+ni = na;
- 둘다 도핑
많은거 기준 n0 = | nd - na | , p0 = [ na - nd|
- 용어정리
carrier기준으로 intrinsic/ extrinsic으로 구분
많은거 기준으로 majority/minority carrier로 구분
majority carrier를 기준으로 n-type/p-type 구분
- space charge는 생략
3. 반도체 안에서 통계분포
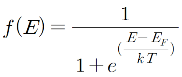
- fermi-diric's statistic(or probablility function)

k = 8.62*10^(-5) eV/K ; 볼츠만 상수
Ef ; 페르미 준위
T ; 절대온도
f(E)는 전자가 E의 에너지를 가질 확률 => EF를 가질 확률 = 0.5
- instrinsic에서 확률분포를 위 함수를 이용해 나타내 보았다.

- 전자와 홀의 농도가 같으니, fermi level 은 밴드 중간에 위치한다.
- 온도가 올라갈수록 높은 에너지를 가질 확률이 올라간다.
- doner 도핑시
; Si 원자와 doner원자의 (+)양이 다른 것을 생각하자

- conduction 밴드와 0.01eV차이나는 곳이 doner 원자에 의한 준위다.
- 전자 잃을 확률이 높아서(자유전자 발생), conduction 밴드 근처에 있는 것이다.
- doner 준위는 doner 원자특성에 의한것이므로 fermi level과는 다르다.
- fermi level은 도핑농도에 따라 정해짐.
- acceptor 도핑 시

; acceptor원자는 전자 땡겨온다. 그래서 전자는 valence band(공유결합) 위치에 있을 확률이 높다. 따라서 acceptor 준위는 valence band 근처에 형성된다.
이것을 hole 관점으로 만들려면 1- f(E) 로 반전시켜 그리면 된다.

- carrier 농도(전자가 majority carrier일 때)

사진 설명을 입력하세요.
f(E) ; E에서 전자 존재 확률
N(E) ; E에서의 존재할 수 있는 전자 밀도.
- 즉, 밀도 * 확률을 conduction밴드 대역에서 적분하면 된다.
- 실제 n0, p0은 아래 식으로 구한다.
; 온도, 도핑농도만 알면 쉽게 값을 찾는다.


4. 반도체 carrier에 변수 발생(none equillibrium & excessive carrier)
- thermal generation rate
; 전자와 홀이 증가하는 비율. (열에 의한)
- recombination rate
; 전자와 홀의 감소하는 비율. 초당 결합 비율
-thermal equilibrium에서,
Gn0 ; 전자의 thermal generation rate(#/cm3-(s) )
Gp0; 홀의 thermal generation rate(#/cm3-(s) )
Rn0 ; 전자의recombination rate(#/cm3-(s) )
Rp0; 홀의 recombination rate(#/cm3-(s) )
(열)평형상태에서는, Gn0 = Gp0 = Rn0 = Rp0 로 n0와 p0가 일정하다.
- non equilibrium에서
G'n ; excess(초과) 전자의 thermal generation rate(#/cm3-(s) )
G'p; excess(초과) 홀의 thermal generation rate(#/cm3-(s) )
R'n ; excess(초과) 전자의recombination rate(#/cm3-(s) )
R'p; excess(초과) 홀의 recombination rate(#/cm3-(s) )
δn; excess(초과) 전자
δp; excess(초과) 홀
- 생성 경로는 다양하나(광자, 열분포 등등) , 생성,결합률을 나타내는 식은 존재한다.
여기서 total은
n = n0+δn
p = p0+δp
- 외부에서 주입되는 것이 아니라, 외부 자극으로 내부에서 생성되는 것이므로
EHP이고, R'p = R'n , G'p = G'n 이다.
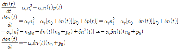
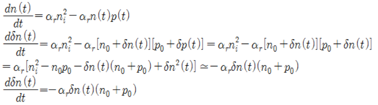
- 불평형 상태로 환경이 변했으므로, steady state를 가정하여 식을 새로 구성한다.
steady-state; 시간에 대한 변화가 일정
- 시간에 대한 전자 농도 함수
; 생성률 - 결합률
; low level injection 가정 ; δn가 매우 작다; excess가 majority에 비해 매우 작다.
; α는 상수로서, gi로 표시하기도 한다.

왜 상수를 맨 나중에 생략하는지는 모르겠다.
마지막 식(미분방정식) 을 풀면 p-type 에서는

n-type에서는

의미 ; 지수적으로 감수한다. ; 농도 차이로 주변으로 exponential하게 확산된다.
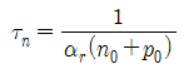
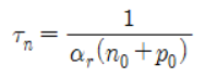
τn0; excess(초과) 전자 lifetime
τp0; excess(초과) 홀 lifetime
lifetime ; 생성~재결합으로 사라지기 까지의 시간.

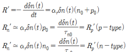
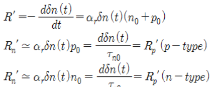
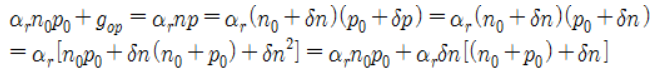
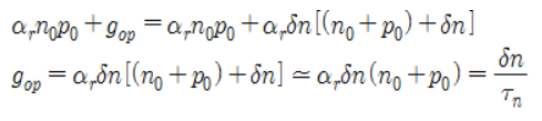
- 결합률 역계산

- 전체 캐리어 증가율 = (ar)(n0)(p0)+gop
; 기본은 전자,홀 농도에 비례 (ar)(n0)(p0)
; gop는 excessive에 의한 증가
초기조건 일정으로, δn = δp라고 가정한다.




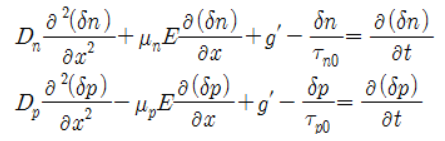
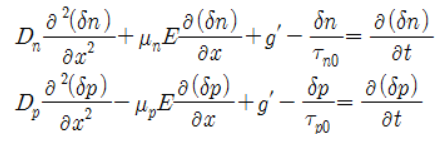
시공간에 의한 carrier 분포

; 농도차이 확산, 전기장 drift, EHP를 다 포함한 식.
- 조건이 아래와 같을 때,

- Einstein Relation에 의해 아래식으로 moblity를 구한다.

- 위의것을 종합하면, Quasi-Fermi Energy level
; steady-state에서의 fermi level 을 quasi - fermi level이라 한다.

- minority로 결과를 계산하는 이유.
; excessive의 diffusion에서 minority가 큰 변수다.
marjority는 재결합 비율이 낮다. 농도가 높아 차이가 없다.
minority는 재결합 잘일어남, 농도차이 커서 확산이 잘 일어남.
5. PN Junction
; p-type, n-type을 붙인 것.
- 현상
; 둘을 붙이면, 농도가 달라서 diffusion이 발생한다.
; 경계 주변에서는 전자와 hole이 만나므로, 재결합을 한다.
; p-type 경계 주변에는 (-)만 남고 n-type 주면에는 (+)만 남는다.
; 이를 공간전하 space charge라고 하고, 이 공간을 SCR space charge region 이라한다. 더 잘 쓰는 말로, 공핍층 depletion region이라 한다.
- 구체적으로,

; E-field는 (+) -> (-) 방향이므로, SCR에서는 N->P 방향이다.
페르미 준위가 평평해지기 위해 band gap도 아래 모양이 된다.

built in potential barrier : p-type과 n-type의 에너지 준위 차이.
-
n - type이 높다;
에너지밴드는 전자기준 eV.
그림에서 p -type의 에너지 '준위' 가 높으므로 '전위'는 n - type이 높은것이다.
- 밴드 모양에서 p타입의 '에너지 준위가' 높다
; p->n 으로 전자가 이동하기 쉽다.
;전자는 p-> n으로 이동한다
; 전류는 n->p로 이동한다
; n의 전위가 높다.
전자는 p-> n으로 가기 쉬운데,
n에 이미 전자가 많고
홀은 n-> p로 이동하기 쉬운데,
p에 이미 전자가 많아서..
전자가 많아서 높은게 아니라, P->N으로 이동하기 쉬워서 N의 전압이 높은것이다!
열평형 pn junction에는 전류가 흐르지 않는다.
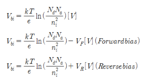
계산 ; 위에 Vbi라고 써있는 구간.



built in voltage는 e로 나누기만 하면 된다.

- forward bias

; forward bias(p에 +극)을 걸면 p타입의 밴드는 내려간다.
; potential barrier가 낮아져 carrier들의 이동이 쉬워진다.
(p의 홀이, n의 전자가)
- reverse bias

; reverse bias를 걸면(p에 -극) p타입 밴드는 올라간다
potential barrier가 높아지며 carrier가 이동하기 더 어려워진다.
- IV특성

사진 설명을 입력하세요.

사진 설명을 입력하세요.
- 전류의 원인; minority carrier 농도차 확산
1. 농도차에 의한 carrier diffusion
2. E-field에 의한 drift
; 필드는 공핍층에만 있고, carrier가 없어서 drift가 없다.
; 공핍층 제외한 나머지(neutral)에서 carrier diffusion이 주된 원인이다.
나머지 영역에서 major carrier는 농도차가 없으므로
minor carrier가 움직인다.

사진 설명을 입력하세요.

사진 설명을 입력하세요.
- breakdown
- avalench
; impact ionization
; 역방향 전자가 공핍층에 들어가 충돌에 의해 EHP를 생성하고
, 이것이 연쇄적으로 이뤄지는 이온화

사진 설명을 입력하세요.
- zener
; tunneling
; 낮은 에너지 상태에서 밖으로 이동하는 현상.
; valence band 가전자가 tunneling ( valence band -> conduction band)
; 역방향 전압이 너무 크게 가해졌다고 생각해보자,
; N형의 bandgap diagram이 바닥으로 엄청 내려간다.
; 그런데 pn이 접합되어있어 둘은 연결되어야 한다.
; p형의 valance 밴드가 n형의 conduction 밴드에 거의 붙어버린다.
; 그러면 p형 valence 전자가 n형 conduction으로 그냥 넘어가버린다(tunnel)
;이 원리이다.

사진 설명을 입력하세요.

사진 설명을 입력하세요.
'전공지식정리 > 반도체' 카테고리의 다른 글
| 반도체 테스트(WT & PKT& ESD..) (0) | 2022.01.20 |
|---|---|
| 반도체 정리 - 테스트용 키워드 (0) | 2022.01.20 |
| 소자 공부 2 (0) | 2022.01.20 |
| 소자공부 1 반도체 소자의 종류 (0) | 2022.01.20 |
| 하이닉스 PE직무 (0) | 2022.01.20 |