신호는 AC+DC이다. 즉, DC 기준으로 AC가 파동을 침.
   이번엔, 신호가 바뀔 때(AC에서), 어떤 특징이 있는지 알아보도록 하자.
 1 소신호 분석 ( = ΔId / ΔVd)
 : ΔVd의 변화에 의한 ΔId의 변화 분석이다.
   실제, ΔId / ΔVd는 곡선이지만, 소신호에서는 직선으로 근사한다.
ΔVd만큼 다이오드 전압이 바뀌었을 때,  전류 ΔId는 어떻게 바뀌는가.
ΔVd의 변수를 만들어 ΔId를 구해보자. 그러면 둘의 비율을 구할 수 있다.
( ΔId는 ΔVd의 식으로 나올 수 밖에 없으므로)
1.1 바이어스점(=Q점 = 동작점)
 - 소신호해석에서 기준이되는 점이다. 즉, Δ의 시작점.
이번 분석에서는 처음전압 Vd1, Id1이
바이어스점(=Q점 = 동작점)이 된다.
2. 구하기
2.1 처음전압 Vd1, 나중전압 Vd2라하자
      그러면, Vd2 = Vd1 + ΔVd 이다.
2.2 처음전류 Id1, 나중전류 Id2라하자.
2.3 식
비선형모델을 사용한다.

(비선형모델 전류 근사식)
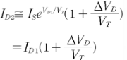
 Vd2 => Vd 1+ ΔVd로 바뀌므로 대입하면,

마지막 식은 Taylor's series에 의해 근사한 것이다.(지수함수의 근사)
이 근사식을 대입하면.

Id2의 전류 값을 얻을 수 있다. 이를 통해 ΔId를 구하면.

풀이과정
I1 = V1(x)  -> I2 = V2(x) ,  [V2= V1+ΔVd], taylor근사 ->  ΔId = I2 - I1

3. 소신호등가 모델
 3.1
  위에서 구한 것을 토대로 정형화된 모델을 만들어 보자.

위에서 구한 식을 정리해보면, rd로 다이오드를 표현할 수 있고,
VT/Id가 된다 (id1 => Idq인 이유는 동작점에서의 전류를 표현한것)
 즉, rd = 열전압/ 다이오드 동작점전류 이다.
 이 rd를 소신호 등가저항이라고 명명한다.
여기서, 저항 = 물체 가 아니라,
 전류와 전압의 관계라는 것을 다시복기하고 가자.
3.2
 위 결과를 토대로 그래프의 관점으로 다시 확인해보자.


ΔId / ΔVd 는 Id1/VT(=Idq/VT)와 같다.
  즉, 기울기는 저항 rd의 역수이다.

동작점에 왼쪽의 모양처럼 전류신호가 들어가면,
저항의 역수의 영향을 받아 전압신호가 나온다(바닥)
역으로, 전압이 변화하면, 저항의역수의 영향을 받아 왼쪽처럼 전류신호가 나온다.
4. 소신호 등가회로
비선형소자를, 선형소자로 바꿔서 회로를 그린 것을
소신호등가회로라고 한다.
1에서 소신호해석은 Δ를 구하는 것이라 했다.
Δ는 아주 짧은 변화. 즉 미분의 개념인데.
미분의 목적은 복잡한 것을 선형으로 만들기 위한 것이다.
diode는 선형소자가 아닌데, 선형소자로 보고싶어서 이짓을 해온것이다.
rd = ΔVd / ΔId 였다. 즉, ΔVd = (ΔId)(rd)이다.
ΔVd의 변화에서, 다이오드는 선형소자인 rd로 볼 수 있다.
즉, 소신호 등가회로에서, 다이오드 = 저항이된다.

출처: KOCW. 전자회로. 영남대학교. 김성원
http://contents.kocw.or.kr/contents4/html/2013/Yeungnam/KimSungwon/3-2/default.htm
'전공지식정리 > 전자회로' 카테고리의 다른 글
| 제너다이오드 + α (0) | 2020.12.07 | 
|---|---|
| 다이오드 응용회로 (0) | 2020.12.07 | 
| 다이오드 모델, DC해석 (0) | 2020.12.07 | 
| PN접합 (0) | 2020.12.07 | 
| 반도체의 전류흐름 (0) | 2020.12.07 |