반도체 전류흐름은 2가지 종류가 있다. 이 2가지를 더한게 Total이다.
1. 확산전류(diffusion)
캐리어(carrier)의 농도차(밀도차)에 의해 발생

carrier가 많은 곳에서 적은 곳으로 움직인다.
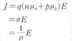
2. 표류전류(drift)
전계에 의해 캐리어가 이동하여 발생.(전압을 인가하면 전계발생)
=> 전계방향으로 캐리어가 이동.

3. 아인슈타인 관계
: 캐리어의 확산계수(D)와 이동도(μ)의 비.
= 위의 Diffusion과 drift의 비,
이것이 온도에 따라 값이 정해진다.(27도(상온)에 26mV)

[ Vt = 열전압이라고한다. definition임 ]
n형이면 n, p형이면 p를 맞춰줘야함.
출처: KOCW. 전자회로. 영남대학교. 김성원
http://www.kocw.net/home/search/kemView.do?kemId=705901
'전공지식정리 > 전자회로' 카테고리의 다른 글
| 다이오드 AC해석 (0) | 2020.12.07 |
|---|---|
| 다이오드 모델, DC해석 (0) | 2020.12.07 |
| PN접합 (0) | 2020.12.07 |
| 주파수응답(회로이론복습) (0) | 2020.12.07 |
| 반도체의 이해(원자구조, 에너지밴드, 물성) (0) | 2020.12.07 |